慢性腎臓病(CKD)の人は、低タンパク食を勧められるでしょう。CKD診療ガイド2024の「成人 CKD 患者への栄養管理」には、次のような図が載っています。
ちなみに、タンパク質の項目に「過剰な摂取をしない」と書かれていますが、その上限の目安は1.3g/kg/日らしいです。CKDのステージが上がると、タンパク質の摂取量はもっと少なくなります。
でも、同じ日本腎臓学会が発行している「慢性腎臓病生活・食事指導マニュアル~ 栄養指導実践編 ~」の「CKD の生活・食事指導基準」には、次のような記述があります。
「6.脂質
動脈硬化性疾患予防の観点より,CKD 患者でも健常者と同様に脂質の%エネルギー摂取比率は 20〜25%とする」
脂質は20~25%にしろ、と言っています。
では、エネルギー摂取量を中間の30kcal/kgBW/日として、体重が60kgの人を考えてみましょう。エネルギー摂取量は1日1,800kcalです。ステージ3aと3bの中間として0.8g/kg/日のタンパク質は48gで、192kcalです。脂質を推奨の中間の22.5%摂ったとして、405kcalです。残りの1203kcalは炭水化物から摂取することになります。その炭水化物量は300gで、摂取エネルギーのおよそ67%です。
糖質制限をしている方ならわかりますが、糖質を1日に300g摂って、太っても不思議ではないと思いませんか?しかも、脂質は20~25%にしろと言いながら、実際にはエネルギー量を確保するために油の摂取を勧めています。普段は悪者扱いの揚げ物やマヨネーズまで勧めているのです。
こんな低タンパク、高糖質の食事を腎臓学会が推奨したために患者はどうなったでしょうか?
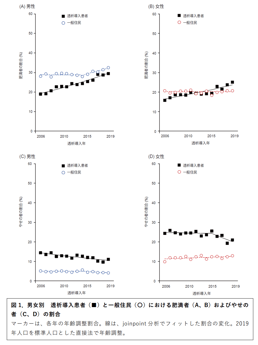
今回の研究では、2006年から2019年までの透析開始年別に、日本の成人の末期腎不全(ESKD)患者における過体重/肥満と低体重の有病率の経時的傾向を分析しています。(図は新潟大学のプレスリリースより)
上の図のように、透析導入患者の肥満の割合の増加率は一般住民の増加率をかなり上回っています。そして、女性ではすでに肥満の割合が、一般住民の割合を超えています。
上の図のように、年代別で見ると、40代から60代の男性の透析導入患者の肥満の増加率はものすごいものがあります。40代ではおよそ半分の人が肥満です。女性も40代50代の増加率は非常に高いです。20代から50代までの女性の透析導入患者は一般住民の肥満の割合をはるかに超えてしまっています。
上の図のように、透析で最も多い糖尿病性腎症で最も肥満率も肥満増加率も高いのがわかります。
これは、患者が悪いのでしょうか?もちろん、肥満になったから、腎臓も悪くなったかもしれません。しかし、医師や栄養士の食事療法が間違っているとは彼らは考えないでしょう。
ガイドラインにも上のように、肥満はCKDの増悪の危険因子だと言っています。そうであるならば、体重が増加しないように、食事の指導をすべきです。
しかし、医師も栄養士もカロリーでしか、体重の増減を考えません。カロリーが多ければ太り、カロリーが少なければ痩せると、いまだに考えています。だから、肥満が増加しているのです。
肥満になるのは糖質過剰摂取でインスリンが過剰分泌されて、脂肪が蓄積するからです。CKDでタンパク質制限を課すために、その分糖質摂取量が増加してしまう可能性が非常に高くなります。
今の医療、栄養学はすでに敗北しています。古典的な考えを変えないので、それを鵜呑みにする患者は、どんどん太ってしまいます。
メタボリックシンドロームや肥満が腎臓に悪影響を与えることは、十分に言われていることです。(「エビデンスに基づく CKD 診療ガイドライン 2023」など参照)
そうであるならば、もっと効果のある食事療法を推奨すべきです。それは糖質制限であり、腎臓が悪くなる前から糖質制限を推奨すれば、慢性腎臓病は恐らくほとんどいなくなるでしょう。
現実には、慢性腎臓病の患者に管理栄養士は、例えば次のような食事を勧めています。(ここ参照)
4品で639kcal、食塩 1.7g、たんぱく質19.2g、脂質22.3g、炭水化物100.1g、食物繊維10.3gです。
「メンチカツはカロリーアップにぴったり」とのコメントまで付いています。他では揚げ物は太ると良いながら、カロリーアップには揚げ物を推奨です。カロリー至上主義は困ったものです。
もう1つ献立を見てみましょう。豚肉は豚バラを使用しています。
4 品で699kcal、食塩1.8g、たんぱく質20.0g、脂質29.3g、炭水化物96.5g、食物繊維9.0g
ここにも「豚ばらでカロリーアップ」とコメントが書かれています。動物の脂って健康に悪い、って普段言ってませんでした?
こんな食事を勧められて、実行してしまえば、体重は増加し、腎機能は低下するでしょう。本当にタンパク質が悪いのでしょうか?それは次回以降で。
「An increasing trend of overweight and obesity in the Japanese incident end-stage kidney disease population」
「日本の末期腎疾患患者における過体重と肥満の増加傾向」(原文はここ)







糖尿病が原因で
人工透析をしている有名人などの
「食生活も、運動も、勿論薬も
医師の指示通りにがんばってます!」
的なニュースや動画に接すると、
何とも言えない気持ちになります。
生き方は個人の自由ではありますが
情報リテラシーは大事ですね。
鈴木武彦さん、コメントありがとうございます。
多くの医師は決して患者を悪くしようとしてやっているわけではないので、
逆にたちが悪いですよね。
医師たちが自分で考える教育を受けていないので、企業の思うつぼです。
病院の腎炎食はタンパク質が減らされ、カロリー調整のためか甘いゼリーが付加されていました。流石に酷いと思いました。
先日の検査で尿ケトンが出て糖質制限を緩めるよう指示されましたが、このままいこうと思います。
IgA腎症患者さん、コメントありがとうございます。
カロリー調整のために甘いゼリーを付加、ですか・・・
これが医療の現実ですね。